Các bạn học sinh hôm nay sẽ được tìm hiểu cũng như nhớ lại công thức tính diện tích tam giác thường, vuông, cân, đều qua bài viết sau của kienthucviet.vn
Công thức tính diện tích tam giác
1. Tam giác cân, thường

S(ABC) = 1/2 *a*h
Với:
- a là chiều dài cạnh đáy ( cạnh CB như hình trên).
- h là chiều cao ( từ A hạ xuống H như hình trên).
2. Tam giác vuông

S(ABC) = 1/2* AB * BC
3. Tam giác khi biết 3 cạnh

Với:
- p = (a +b +c)/2
- a, b, c là độ dài của 3 cạnh tam giác.
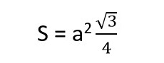
4. Tam giác đều
Các bạn áp dụng định lý Heron nhé:

Công thức tính chu vi tam giác

P = a+b+c
Với:
- P là chu vi tam giác
- a,b,c : lần lượt là các cạnh tam giác ( như hình trên)
Hãy ôn lại công thức tính diện tích, chu vị hình chữ nhật tại đây, có thể bạn đã quên đi bảng công thức đạo hàm rồi cũng nên.
