Bloghochanh xin chia sẻ đến các bạn tổng hợp công thức đạm hàm đầy đủ, nhằm ôn lại những kiến thức các bạn đã được học có thể quên hoặc cho những bạn chưa học nắm trước kiến thức.
Bài viết này sẽ nói full bảng công thức đạo hàm, đạo hàm của lượng giác,…Vậy các bạn cùng xem qua nhé
Định nghĩa đạo hàm là gì?
Định nghĩa- Công thức – Đạo hàm các hàm số sơ cấp – Đạo hàm cấp cao

Các quy tác cơ bản của đạo hàm
Quy tắc cơ bản của tính đạo hàm

Quy tác đạo hàm của hàm số hợp

Công thức đạo hàm cơ bản

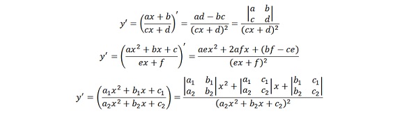
Đạo hàm của một số phân thức hữu tỉ thường gặp

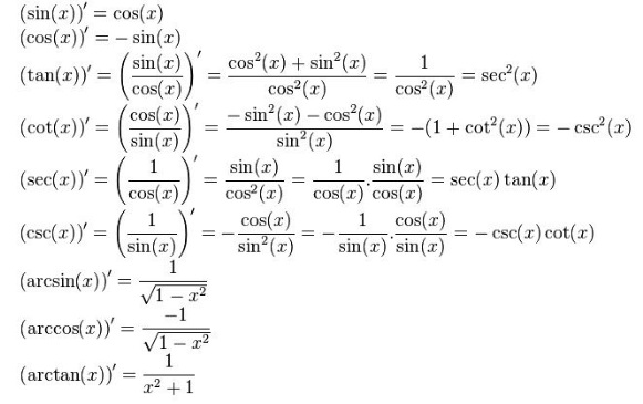
Công thức đạo hàm lượng giác
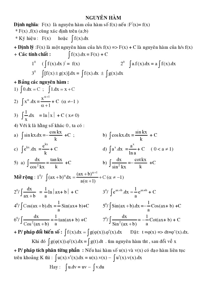
Nguyên hàm là gì? Định nghĩa nguyên hàm

Bảng đạo hàm và nguyên hàm

Với những chia sẻ trên hy vọng sẽ giúp được các bạn một phần nào đó, chúc các bạn học và thi tốt đạt điểm tối đa! Đừng quên ghé qua Bloghochanh ủng hộ thường xuyên nhé.
P/s: Nếu các bạn cần công thức nào thì đừng ngại comment bên dưới, Bloghochanh sẽ trả lời cho bạn. Cảm ơn





